A degree of a monomial is the number of times a variable occurs as a factor in a monomial.  
                                       
Example 2

Example 4
Binomials contain two terms.    2y + 17                 2b - 5


Trinomials contain three terms.
Example 3:


Our answer shows that the degree of the polynomials is 3.  

Remember, the number beside the variable is called the coefficient.  

Multiply the coefficients. 

Then add the exponents. 

Remember that the commutative axiom says: ab = ba.

In this case, 4(-2) = -2(4), which equals -8. 

The associative axiom says:  (a + b) + c = a + (b + c), or (ab)c = a(bc).

In this case, 

Step 1: Combine the a variables into a group and combine the b variables into another group. 

Step 2: Apply the rule of the exponents for multiplication by adding the exponents.
       Tutorial               Lessons              Quiz
Some Helpful Tools

Lessons:  click here

Math Homepage:  click here
This section will cover the fundamentals and rules of simplifying polynomials. 
Monomials and Polynomials
In order to understand polynomials, it is important to become acquainted with monomials. A monomial is an expression of a number, a variable, or a product of a number and one or more variables. 

Example 1
The monomials below are not similar. 



Example 5
Adding and Subtracting Polynomials
The operation sign in front of the coefficient will tell whether you need to add or subtract. 

Example 1

Since the terms are similiar or alike, the polynomial can be simplied. 
The subtraction sign changes the signs to the opposite for the terms inside the parentheses as shown below. Once the signs have been changed, you may simplify. 

Example 2
Multiplying Polynomials
Multiplying monomials requires adding the exponents when their bases are alike. 
Use the commutative and associative axiom when multiplying polynomials. 

An axiom is a statement that is thought to be true. 

Commutative Axiom 
a + b = b + a,  or
ab = ba
Associative Axiom
(a + b) + c = a + (b + c), or
(ab)c = a(bc)
The Rule of Exponents for Multiplication states that for all positive integers a and b
Three Axioms and a Rule
The distributive axiom says, 
(Step 1)
(Step 2)
More on Multiplying a Polynomial by a Monomial
We will use the distributive axiom to simplify the expression. 

Example 1
Distributive Axiom
a(b + c) = ab + ac, and 
(b + c)a = ba + ca
a(b + c) = ab + ac, and 
(b + c)a = ba + ca
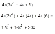
When the distributive axiom is applied, you will multiply the 4x value times everything in the parentheses. 
Add exponents when multiplying polynomials. 
Example 2: 
Multiplying Two Polynomials 
Let's see what happens when two polynomials are multiplied. 
Example 1:   (4x + 7)(2x + 3)
Use the distributive axiom to multiply the polynomials. Then combine the like terms. 
Example 2:   
You can solve this problem in vertical form. 
First, multiply each term by 4x
Second, multiply each term by 7.  Make sure that the terms are aligned as shown.
Third, add the terms.
Notice that the terms are in decreasing order. 
The prefix mono in the word monomial says that there is only one term in the mathematical expression. 

The prefix poly in the word polynomial says that there are many terms in the mathematical expression. 

A polynomial is the sum of monomials. 
There is a degree of 5 in x, a degree of 3 in y, and a degree of 1 in z

A degree of a polynomial is the highest of the degrees of its term after it has been simplified. 
Monomials may be called similar even if the coefficients are different. 

Math: Polynomials - Tutorial


Note: The terms negative 4x and positive 4x cancel out.